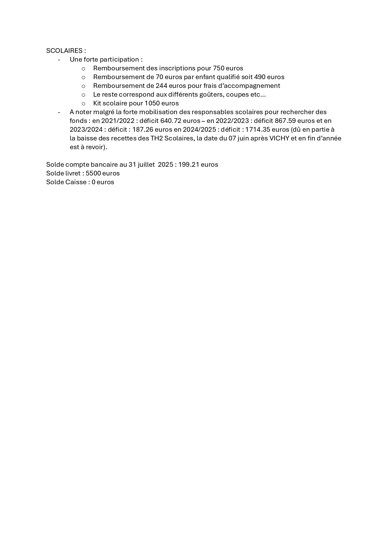
CONVOCATIONL' Assemblée Générale Ordinaire du Comité se tiendra le samedi 30 août 2025 à Béziers, à partir de 10 heures, au Palais des Congrès, 29, avenue Saint-Saëns.Tous les licenciés du comité sont membres de droit de l'Assemblée. Les décisions seront prises à la majorité des membres présents. Il n'est pas prévu de procuration.ORDRE DU JOURRapport moral (G. HUSS)Rapport financier (P. Campourcy) jointScrabble scolaire (JM. Orhnial)Scrabble classique (JY. Costa)Election des 3 représentants du Comité à l'AG de la FFSC à Aix les Bains.Questions diverses.Les personnes volontaires pour représenter le Comité sont priées de faire connaître leur candidature à Cette adresse e-mail est protégée contre les robots spammeurs. Vous devez activer le JavaScript pour la visualiser.. Elles s'engagent bien sûr à participer à l'AG.A l'issue de l'AGO se tiendra une réunion du Conseil d'Administration (membres du bureau et présidents de clubs ou leurs représentants) afin de préparer la saison 2025-2026 et notamment le calendrier prévisionnel (les clubs absents sont priés de me faire connaître leur calendrier de compétition), les subventions accordées aux joueurs et aux clubs, le coût des licences, ... .IMPORTANT ; Il est prévu un repas en fin de matinée au prix de 32 euros dont 5 euros seront pris en charge par le Comité. Les inscriptions sont prises jusqu'au 13 août sur le site du Comité en cliquant ici directement sur le lienLe Président du ComitéGérard HUSS





